资讯内容
研究亮点

基于参考经验方法的日本海沟区域海域地震动预测模型

发布时间: 2024-04-01 点击数量:20816
研究背景:
建立地震动预测模型最常见的方法是基于实际地震动记录进行回归。由于可获得的实际海域地震动数据不够完善,难以直接采用经验回归方法建立完善可靠的海域地震动预测模型。基于陆域的地震动预测模型进行调整,得到海域的地震动预测模型,提供一种新的思路,可为建立海域地震动数据匮乏区域的地震动预测模型提供参考。
研究方法及结果:
采用日本S-net的海底地震动数据(见图1),基于日本陆域地震动预测模型对海域地震动数据进行预测,计算预测值和实际值的残差,对残差进行回归得到陆域模型的调整因子,将调整因子结合陆域地震动预测模型得到海域地震动预测模型,并将建立的海域地震预测模型与日本陆域地震动预测模型进行了对比,结论和启示如下:
1) 建立的海域地震动预测模型对矩震级、震源深度和震源距离等是无偏的,证实了所提出模型的适用性(见图2)。模型的总标准差主要由事件内标准差组成,事件间的不确定性对总的不确定性的贡献很小,这与过去的研究结果一致(见图3)。

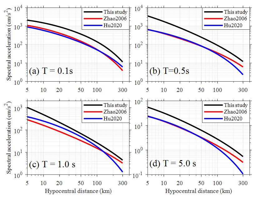
2)对比建立的海域地震动预测模型和现有陆域地震动预测模型的PGA和反应谱的衰减差异,表明海域PGA和反应谱大于相同震级和距离的陆域PGA和反应谱,且随着震级的增加,差异逐渐增大。(见图4和图5)。

该成果发表在国际期刊《Soil Dynamics and Earthquake Engineering》(Jinjun Hu*, Wenbin Zhang, Lei Hu, et al. Regional offshore ground motion prediction model from a referenced empirical approach: A case study in the Japan Trench area. Soil Dynamics and Earthquake Engineering, 2023, 174: 108196. DOI: https://doi.org/10.1016/j.soildyn.2023.108196)(IF:4.0,*通讯作者)。

(a) (b)

图1 (a) 日本S-net海底台站分布图, (b) 地震事件分布图

图2 事件间残差和事件内残差对震级、震源距离和震源深度的分布图

图3 地震动预测模型的标准差分布图

图4 本文海域地震动预测模型和现有陆域地震动预测模型的PGA对比

图5 本文海域地震动预测模型和现有陆域地震动预测模型的反应谱对比

<

上一篇

阻尼器对铰支墙-框架结构抗震性能的影响

>

下一篇

《复杂层状半空间场地响应分析: 一种基于双重相似性的比例边界有限元法》论文发表